云天勵飛人工智能技術研究多項成果再獲國際認可。近日,將于今年4月在日本舉行的人工智能領域一大頂級學術會議——人工智能及統計學大會(International Conference on Artificial Intelligence and Statistics,簡稱AISTATS會議)收錄結果揭曉,云天勵飛AI技術部王孝宇博士與美國愛荷華大學楊天寶教授領導的團隊合作的論文《A Robust Zero-Sum Game Framework for Pool-based Active Learning》入選。該論文提出了一種基于穩健優化的博弈主動學習算法,這有助于節省多種監督學習的標注成本。而在不久前,云天勵飛另一篇有關采用遞歸網絡模型解決視頻人臉關鍵點定位的論文被計算機視覺頂級學術期刊IJCV收錄。
用遞歸神經網絡 為人臉關鍵點檢測建立時間和空間聯系
云天勵飛被IJCV 2018收錄的論文名為《RED-Net: A Recurrent Encoder-Decoder Network for Video-based Face Alignment》,團隊在業界首次提出采用遞歸網絡模型解決視頻人臉關鍵點定位問題,以此來減少訓練模型的復雜度,并實現對大姿態人臉和部分遮擋關鍵點的精確定位。此項工作的參與成員還包括IBM Watson研究院和新澤西州立大學。

Overview of the recurrent encoder-decoder network: (a) encoder-decoder (Section 3.1); (b) spatial recurrent learning (Section 3.2); (c) temporal recurrent learning (Section 3.3); and (d) supervised identity disentangling (Section 3.4). fenc, fdec, fsr n, ft r n, fc l s are potentially nonlinear and multi-layered mappings
據悉,傳統視頻人臉關鍵點檢測通常使用級聯化的的關鍵點坐標回歸模型對關鍵點進行由粗到細的定位。在進行視頻逐幀人臉關鍵點定位時,通過使用上一幀人臉的檢測框和關鍵點信息對該幀的定位任務進行更精確的初始化。這類級聯回歸模型不同級間并不共享參數,模型訓練對數據量的要求較高。

An unrolled illustration of spatial recurrent learning. The response map is pretty coarse when the initial guess is far away from the ground truth if large pose and expression exist. It eventually gets refined in the successive recurrent steps
云天勵飛團隊等在論文中提出了一種新的遞歸編碼解碼器(Recurrent Decoder-Encoder)模型結構來解決視頻人臉關鍵點定位問題。在空間域上,該模型變傳統多級級聯模型為單一遞歸模型,大幅度減少模型的復雜度。在時間域上,該模型將編碼器生成的嵌入特征中的時變因素和時不變因素進行解耦,并對時變部分用遞歸網絡進行建模學習。

An unrolled illustration of temporal recurrent learning. Cid encodes temporalinvariant factor which subjects to the same identity constraint. Cpe encodes temporalvariant factors which is further modeled in ft R N N
相比傳統視頻人臉關鍵點處理中只使用上一幀結果初始化,這種時域遞歸網絡能夠學習和利用更長時間范圍內關鍵點的位置信息和變化規律,實現對大姿態人臉和部分遮擋關鍵點實現精確定位。
據介紹,與國際主流方法相比較,在7關鍵點和68關鍵點兩種模式下,采用遞歸網絡模型定位視頻人臉關鍵點的方法,在Talking Face, Face Moive 和 300VW 三個公開數據集平均誤差都顯著低于這些主流方法。

將模型訓練和標注選取結合 提升模型訓練效果
大數據時代來臨,人工智能領域面臨的一大難題是如何獲取監督學習所需要的大數據對應的數據標注。對于監督學習來說,并不是每個標注數據對模型訓練的幫助程度都是等同的,即有些數據對模型訓練幫助更大。而主動學習則是研究如何選取潛在對模型訓練更大的未標注數據去給予它們標注,從而達到提升模型訓練效果、節省人工標注成本的目的。
不過,目前已存在的主動學習算法大多或是基于分類模型產生的數據不確定性并利用一些啟發式策略進行標注數據選取;或是利用其它理論如信息理論、學習理論定義數據不確定性并產生一些優化式策略進行標注數據選取。
分開進行標注數據選取和模型訓練可能會存在二者步調不統一的情況,從而無法得最優的結果!禔 Robust Zero-Sum Game Framework for Pool-based Active Learning》提出的思路并不像之前其它算法那樣把模型訓練和標注選取兩個模塊割裂開來,而是利用博弈論將其結合在一起,并引入穩健約束進行優化,以獲得最直接的標注數據選取,以及模型訓練效果的提升。
作者基于博弈論提出的優化目標函數如下:

其中w代表模型參數,如支持向量機(SVM),深度神經網絡(DNN)等;p為單個數據產生的損失的權重(由于是主動學習場景,考慮到存在未標注數據,作者使用的是對于所有可能標注的期望損失
作者采取在線梯度下降(online gradient descent)更新模型參數w:
![]()
作者采取鏡像下降(mirror descent)更新數據損失權重p:
![]()
由于加入了穩健約束,作者利用近似映射的方法矯正p:

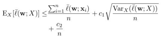
對于方差小的數據,加入穩健約束可以獲得更好的模型泛化效果:

當數據方差數量級小于1/n時,泛化錯誤將為O(1/n)而不是通常的O(1/sqrt(n)).
此外,作者運用了在線算法的分析思路證明了算法收斂的遺憾界限(regret bound):

![]()
最后,作者進行了對于SVM和DNN的主動學習實驗,并采用了一些知名機器學習算法效果對比數據集(benchmark datasets),效果如下 (橫軸為標注數據數目,縱軸為測試準確度,RZSG為論文提出的算法):

![]()

![]()

MNIST

CIFAR 10

來源:XXX(非中文科技資訊)的作品均轉載自其它媒體,轉載請尊重版權保留出處,一切法律責任自負。
文章內容僅供閱讀,不構成投資建議,請謹慎對待。投資者據此操作,風險自擔。
如發現本站文章存在問題,提供版權疑問、身份證明、版權證明、聯系方式等發郵件至news@citnews.com.cn。
海藝AI的模型系統在國際市場上廣受好評,目前站內累計模型數超過80萬個,涵蓋寫實、二次元、插畫、設計、攝影、風格化圖像等多類型應用場景,基本覆蓋所有主流創作風格。
IDC今日發布的《全球智能家居清潔機器人設備市場季度跟蹤報告,2025年第二季度》顯示,上半年全球智能家居清潔機器人市場出貨1,2萬臺,同比增長33%,顯示出品類強勁的市場需求。